芯片资讯
- 发布日期:2024-11-21 08:10 点击次数:194
在乘用车上,电动驻车制动器(EPB)被用于使汽车在平坦的分级道路上保持静止。这是通过用一个单轴或双轴加速度计测量倾角来实现的。一般做法是将一个X轴/Y轴或Z轴低g加速度计装在EPB控制单元中一个专门的模块中。

图1. X轴和Z轴加速度计的安装示意图
现在,越来越多的汽车配有ESC(电子稳定控制)功能,在单个芯片中集成了组合式低g加速度计和陀螺仪。这样做是为了防止汽车侧滑和翻车;如今,ESC功能已经成为世界各国或地区法律的强制要求。
🎙🎙🎙 今天的重点内容来了哦——
如果通过组合器件(单芯片、组合式加速度计和陀螺仪)实现倾角测量,则不必在车上安装一个独立的EPB模块,结果可以大幅降低汽车的成本。由于组合器件通常用于ESC,所以并未针对倾角检测优化,并且通过组合器件测量倾角时,测量精度有时无法达到要求。由于组合器件是XY轴或XYZ轴,所以通常用X轴进行倾角测量,EPB模块中的部分传统型低-g加速度计使用的是Z轴,因为它是垂直安装在发动机舱里的。检测轴应该与重力垂直,才能取得更高的精度。
对于汽车中的倾角测量,评估精度是非常重要的。不妨想像,您的车停在绝对平坦的地面,因此,加速度计计算的倾角应该是0°。如果您的车停在斜坡上,就应该精确地检测出倾角,以便正确地激活刹车系统。

图2. X轴检测倾角测量示意图。

因此

其中:
AOUT 为加速度计的输出,单位为g。
θ 为斜坡的倾角,单位为度。

图3. sin θ对θ随θ增大而下降的灵敏度。
由于sin θ是一个非线性函数,所以,AOUT与θ之间的关系是非线性 的,在接近零时其线性度处于最佳状态,即其此时具有最佳的测量精度。随着θ的增大,测量精度下降。这正是检测轴应与重力垂直的原因,因为道路坡度将接近零
对于汽车倾角测量,不必在全斜坡坡度的条件下考虑系统。现实世界中,道路上的绝大多数斜坡坡度不会超过30°。我们只需要分析在±30°的范围内分析贡献因素的精度即可。
影响系统级测量精度的贡献因素有多个:
灵敏度误差和初始绝对失调
非线性度
与初始绝对失调的总失调变化
噪声
灵敏度误差和初始绝对失调灵敏度误差灵敏度是对输入-输出测得的传递函数的斜率,通常为+1g和–1g。灵敏度误差为器件间的灵敏度偏差。例如,有些加速度计的最大灵敏度为3%。

图4. 输入-输出加速度灵敏度误差
初始绝对失调范围内的失调约为25°C;例如,在模块制造完成后立即测量的值为25°C ± 5°C。初始绝对失调表示大量器件的实测偏移值的标准差。
对于倾角测量应用,两个主要的误差来自失调误差和灵敏度误差。这两种误差会导致不可接受的检测结果,因此不得忽略。如果我们希望消除这些部分误差,则应对加速度输出进行校准。一般地,要对倾角测量的失调和灵敏度进行一次校准。若要考虑失调和灵敏度误差,则加速度计输入与输出的关系为:

其中:
A输出 为失调误差,单位为g。增益为加速度计的增益,理想值为1。A实际 为施加于加速度计的实际加速度,单位为g。
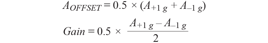
有两种基本校准技术;其中一种是单点校准。这种校准的具体做法是在加速度计上施加一个0g场,然后测量输出。这类校准只能用于校准失调误差,不能校准增益误差。然后,从实际输出值中减去0g场里的输出结果,消除失调误差。这种校准方法非常简单,但精度不足,因为仍然存在灵敏度误差。另一种方法是1g翻转校准,在+1g和–1g时采用两点校准,并在每个+1g和–1g场内按照以下公式测量加速度输出:

其中,失调 A失调 的单位为g。
以这两点信息为基础,可以按照以下方法解出失调和增益:

其中,+1g 和 1g 测量值、A+1g 和 A–1g 均以 g 为单位。
经过这一次校准以后,可以用该等式计算实际加速度,每次都会消除失调误差和灵敏度误差。

其中,A失调 和 A输出 以g为单位。 非线性度
器件的非线性度为测得加速度(AMEA)与理想线性输出加速度(AFIT)之间的最大偏差。加速度测量数据集应包括加速度计的满量程范围。其测量方式为Max(|AMEA – AFIT|)。

图5. 器件非线性度。
其中:AMEA为给定gn下的测得加速度。AFIT 为给定gn下的预测加速度。
多数加速度计或组合器件在给定输入加速度计范围内均存在非线性——例如,GD32兆易创新MCU芯片 30 mg± 2g的范围。对于倾角测量应用,输入坡道斜率在±30°以内,这意味着输出加速度范围在±500 mg (±1g× sin 30°)以内,所以应重新评估该范围内的非线性度。由于非线性度在整个输入范围内是非线性的,所以,很难准确地量化评估这部分误差。然而,由于该器件的数据手册通常都很保守,线性度为30 mg,输入范围为±2g,用10 mg计算±500 mg范围内的误差更合理些。 与初始绝对失调的总失调变化
与初始绝对失调的总失调变化为温度、应力和老化效应导致的失调的最大偏差。该偏差是相对于给定器件的初始绝对失调进行测量的。这是精度总误差的主要贡献因素。
在温度、应力、老化等所有这些因素中,变化与温度在总失调变化中占比很大。一般地,变化与温度曲线是二阶曲线,通常为旋转抛物线。为了消除这部分误差,可以在系统级执行三点校准。对于给定器件,可按下列步骤校准输出失调随温度的变化值。第 1 步
使器件的输出响应以某个 ∆N0值偏移。温度校准流程的第一步是消除环境温度下的失调。

图6. 第1步:消除环境温度下的失调。
第 2 步接下来,在高温下测试器件,用获得的新信息生成失调校正线性公式。

图7. 第2步:在消除环境温度下的失调之后。
第 3 步给现有公式添加一个二阶分量,校正失调剩余部分。设二阶曲线遵循以下公式:

这是二阶抛物线公式,已经通过第1步和第2步消除了旋转分量。
在该公式中,该二阶抛物线有三个解:


图8. 第3步:消除高温下的抛物线旋转分量。
第 4 步
图9. 第4步:在消除高温下的抛物线旋转分量之后。
第 5 步我们可以得到温度系数 a, b, c。

图10. 第5步:添加二阶分量,消除剩余失调。
有关∆N0, ∆N1, ∆N2, a, b, c 的所有温度系数信息应该存储在系统非易失性存储器中,同时需要一个板载温度传感器。系统会在每次上电后例行校准加速度计,确保消除失调随温度的变化值。 噪 声
基于单个数据样本测量倾角不一定可靠。即使加速度计的噪声为零,倾角测量也是在汽车启动时测量的,所以,需要减小发动机、过往车辆或乘客在车上来回移动导致的任何振动。最好的办法是在不降至最低数据速率要求的条件下,在尽量长的时间内做数据平均。数据平均算法会减少rms噪声。
假如我们对噪声采样,结果可得到每个样本的方差

求一个随机变量的均值,获得以下方差,

由于噪声方差保持于σ2不变,

以上推导显示,对同一未校正噪声的n次实现求均值可使噪声功率减少n倍,并使rms噪声减少√n。
由于随机噪声受高斯分布影响,所以,rms噪声等于高斯分布的标准差。6σ以内的最小分布为97%。
例如,如果以1 kSPS的采样率对每100 ms的数据求均值,则最大rms噪声 = 0.4 mg,即是说如果以6σ作为与平均值的距离,则此时的峰值噪声仅为2.4 mg。
用于与rms值相乘的因数取决于器件要执行的任务的统计需求。例如,如果选择6作为因数(峰峰值噪声为6 × RMS_Noise),则算法在器件生命周期内要运行的次数会影响超过最差情况6 × RMS_Noise 的概率。可总结如下:

E为在生命周期内超过最差情况的预期次数,M为生命周期内的运行次数,r为超过最差情况的概率。基于此,我们可以通过乘以rms噪声评估出一个合理的因数。 小 结
以 ADI 公司的 ADXC1500/ADXC1501(组合式陀螺仪和2轴/3轴加速度 计)为例,所有误差贡献项均列于表1中,包括校准和不校准两种情况。我们可以假设,总失调变化为二次曲线,并且其在温度范围内的变化占总失调变化的80%。另外,以6为因数乘以最大rms噪声。
一个陀螺仪和一个三轴加速度计的单芯片集成方案可以实现多种新型应用,尤其是在汽车安全系统和工业自动化应用领域。为了设计更加可靠、高精度的汽车安全系统,例如,稳定的电子控制系统(ESC)和侧翻检测系统,尽量减少系统误差至关重要。汽车中已安装这些传统型底盘控制系统,包括防抱死制动系统、牵引控制和偏航控制系统。
表1. 校准前后的误差贡献

- LSM6DSM:iNEMO惯性模块:3D加速度计和3D陀螺仪2024-10-20
- 中国电子元器件网:Vishay推出新款共漏极双N沟道60 V MOSFET,提高功率密度和效率2024-07-15
- 村田制作(Murata)将硅电容器产能提高两倍,以满足全球化供应2024-04-20
- 以节能为导向,笙泉BLDC硬件演算提高能效2024-01-09
